清新区人民政府门户网站
首页
清新动态
走进清新
政务公开
政务服务
网络问政
首页 > 政务公开 > 财政信息 > 部门预决算
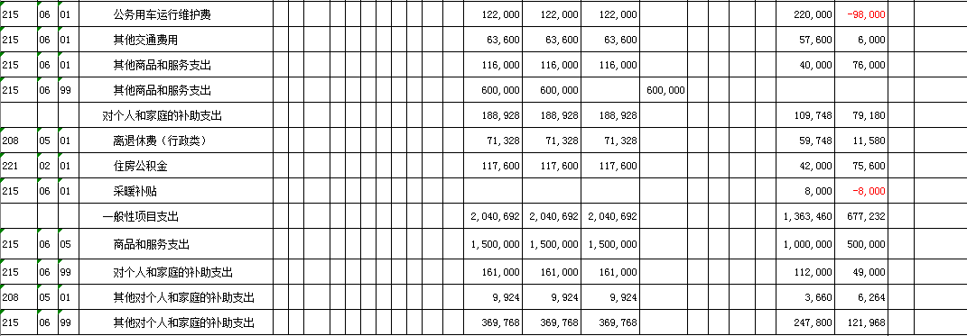
2017年部门预算
发布日期:2017-03-31 09:00 文章来源:清新区安全生产监督管理局 字体大小:【
















 
浏览次数:-
返回顶部
打印本页
网站首页 清新动态 走进清新 政务公开 政务服务